남주장학회 소개
이사장 인사말
임원 현황
장학회 발자취
장학회 사업계획
장학회 정관
장학금 기부안내
기부안내
장학금 기부자 명단
장학금 지급내역
장학활동 및 자료
장학활동
자료
2015 ~ 2020년도 장학금 지급내역
2020년도
장학금 지급내역
2019년도
장학금 지급내역
2018년도
장학금 지급내역
2017년도
장학금 지급내역
2016년도
장학금 지급내역
2015년도
장학금 지급내역
2008 ~ 2014년도 장학금 지급내역
2014년도
장학금 지급내역
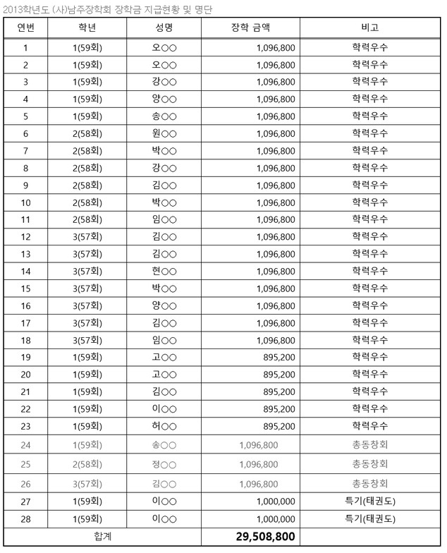
2013년도
장학금 지급내역
2012년도
장학금 지급내역
2011년도
장학금 지급내역
2010년도
장학금 지급내역
2009년도
장학금 지급내역
2008년도
장학금 지급내역
남주장학회 소개
이사장 인사말
임원 현황
장학회 발자취
장학회 사업계획
장학회 정관
장학금 기부안내
기부안내
장학금 기부자 명단
장학금 지급내역
장학활동 및 자료
장학활동
자료